Đáp án & giải thích DGNL đề full
Đề ôn tập ĐGNL ĐHQG HN năm 2025 - Mã đề 23

DOL THPT
Mar 14, 2026
Đề ôn tập ĐGNL ĐHQG HN năm 2025 - Mã đề 23 được thiết kế dưới dạng thi thử trắc nghiệm online, hỗ trợ bạn nắm rõ cấu trúc đề thi. Hệ thống sẽ chấm điểm ngay sau khi bạn hoàn thành bài thi, đồng thời ghi lại kết quả các lần làm để bạn dễ theo dõi quá trình ôn luyện, đồng thời đưa ra đáp án đúng có giải thích rõ ràng và tải file PDF đề thi miễn phí.

Đề ôn tập ĐGNL ĐHQG HN năm 2025 - Mã đề 23
Download PDF
Miễn phí dowload
Câu hỏi đề bài
4 Phần
Phần 1. Toán học và xử lí số liệu
Một nhóm học sinh lớp 10 trả lời một cuộc khảo sát về khoa học toán mà họ đang theo học. Dữ liệu khảo sát được chia nhỏ như trong bảng sau: Đáp án nào dưới đây chiếm khoảng 19% tổng số người trả lời khảo sát?

Học sinh nữ học Hình học.
Học sinh nữ học Đại số II.
Học sinh nam học Hình học.
Học sinh nam học Đại số I.
Tìm tất cả các giá trị thực của tham số
Một hộp chứa 20 quả cầu đều nhau được đánh số từ 1 đến 20. Chọn ra 5 quả cầu từ hộp đó sao cho có đúng 3 quả cầu có ghi số chẵn và 2 quả có ghi số lẻ, trong đó có đúng một quả ghi số chia hết cho 4. Hỏi có bao nhiêu cách như vậy (nhập đáp án vào ô trống):
Anh Duy làm bồi bàn tại một nhà hàng ở Hà Nội. Với mỗi bàn phục vụ anh ấy có thể kiếm được 15% hóa đơn. Trong bữa trưa, anh ấy phục vụ 12 bàn và mỗi bàn có hóa đơn trung bình là 500000 đồng. Biết vào buổi tối, mỗi bàn có hóa đơn trung bình là 900000 đồng. Số bàn tối thiểu mà anh ấy cần phục vụ để kiếm được ít nhất 3600000 đồng trong ngày là
Trên mặt phẳng tọa độ
Một quả bóng được ném lên theo phương thẳng đứng từ mặt đất với vận tốc ban đầu
Cho hình hộp chữ nhật
Cho hình chóp
Có bao nhiêu giá trị nguyên của tham số
Với
Ngày thứ nhất cửa hàng bán được
Xét các cặp số thực dương
Có bao nhiêu số nguyên
Cho lăng trụ tam giác đều
Nhiệt độ ngoài trời ở một thành phố vào các thời điểm khác nhau trong ngày có thể được mô phỏng bởi công thức
Cho hình lập phương
Cho
Số lượng vi khuẩn trong một phòng thí nghiệm
Một lớp học gồm 40 học sinh trong đó có: 15 học sinh giỏi toán, 10 học sinh giỏi lý và 5 học sinh giỏi cả toán và lý. Chọn ngẫu nhiên một học sinh, xác suất để học sinh đó giỏi toán hoặc giỏi lý là:
Cho tứ diện
Trong không gian
A.
B.
C.
D.
Cho hàm số
Gọi
Trong không gian
Cho hàm số
Cho hàm số
Cho hàm số
Cho hàm số

Cho hàm số
Có bao nhiêu giá trị nguyên của tham số
Cho hình thang cong

Trong không gian
4
6
5
7
Biết rằng đồ thị của hàm số
Có bao nhiêu số thực dương
2
0
1
3
Cho hàm số
5
4
-1
3
Trong không gian
Trong không gian
Nhiệt độ ngoài trời ở một thành phố vào các thời điểm khác nhau trong ngày có thể được mô phỏng bởi công thức
13 giờ
15 giờ
12 giờ
14 giờ
Có tất cả bao nhiêu giá trị nguyên thuộc đoạn
Một vật chuyển động với gia tốc
Trong mặt phẳng

Trong không gian
Trong không gian
Cho hình lập phương
Cho một tấm nhôm hình chữ nhật có kích thước

Cho hai biến cố
Hai bạn An và Bình chơi một trò chơi qua hai vòng. Ở vòng một, cứ mỗi lượt chơi ai thắng thì được 3 điểm, còn thua thì bị trừ 1 điểm. Ở vòng thứ hai, cứ mỗi lượt chơi, ai thắng thì lại được 4 điểm, còn thua thì bị trừ 2 điểm. Biết rằng sau khi chơi xong thì tổng điểm của hai bạn là 56 và An nhiều điểm hơn Bình. Giả sử rằng An đã thắng tất cả các trận ở vòng một nhưng lại thua tất cả các trận ở vòng hai. Hỏi ở vòng một có ít nhất bao nhiêu trận (*nhập đáp án vào ô trống):
Có hai đội thi đấu môn Bắn súng. Đội A có 6 vận động viên, đội B có 8 vận động viên. Xác suất đạt huy chương vàng của mỗi vận động viên đội A và đội B tương ứng là 0,7 và 0,6. Chọn ngẫu nhiên một vận động viên. Giả sử vận động viên được chọn đạt huy chương vàng. Xác suất để vận động viên này thuộc đội A là:
Người ta tiến hành phỏng vấn 40 người về một mẫu quần mới. Người phỏng vấn yêu cầu cho điểm mẫu quần đó theo thang điểm là 100. Kết quả được trình bày theo mẫu số liệu ghép nhóm được cho ở bảng bên dưới: Phương sai của mẫu số liệu ghép nhóm đó nằm trong khoảng nào dưới đây?

(60; 70)
(80; 90)
(90; 100)
(100; 101)
Phần 2. Văn học - Ngôn ngữ
Question 51 - 55
.Đọc đoạn trích sau và trả lời các câu hỏi từ 51 đến 55:
Chớ tự kiêu, tự đại. Tự kiêu, tự đại là khờ dại. Vì mình hay, còn nhiều người hay hơn mình. Mình giỏi, còn nhiều người giỏi hơn mình. Tự kiêu, tự đại tức là thoái bộ. Sông to, biển rộng, thì bao nhiêu nước cũng chứa được, vì độ lượng nó rộng và sâu. Cái chén nhỏ, cái đĩa cạn, thì một chút nước cũng đầy tràn, vì độ lượng nó hẹp nhỏ. Người mà tự kiêu, tự mãn, cũng như cái chén, cái đĩa cạn…
(Trích “Cần kiệm liêm chính”, Hồ Chí Minh, tháng 6-1949)
Đoạn văn trên được viết theo phong cách ngôn ngữ nào?
Sinh hoạt.
Nghệ thuật.
Chính luận.
Khoa học.
Trong đoạn văn trên, tác giả sử dụng những thao tác lập luận nào?
Giải thích, bác bỏ, phân tích, so sánh.
Chứng minh, bình luận, bác bỏ, giải thích.
Phân tích, chứng minh, so sánh, bình luận.
Bình luận, giải thích, chứng minh, phân tích.
Chỉ ra một biện pháp nghệ thuật nổi bật được sử dụng trong đoạn trích trên và nêu tác dụng.
Nhân hóa - làm hình tượng trở nên sinh động.
Câu hỏi tu từ - bộc lộ cảm xúc của tác giả.
Điệp từ - nhấn mạnh thái độ của tác giả trong đoạn trích.
Nói quá - làm hình tượng trở nên sinh động hơn.
Giải thích ý kiến “Tự kiêu, tự đại tức là thoái bộ”.
Tự kiêu, tự đại là làm suy thoái giống nòi.
Tự kiêu, tự đại là làm suy thoái bản thân.
Tự kiêu, tự đại làm ảnh hưởng đến tương lai đất nước.
Tự kiêu, tự đại làm ảnh hưởng đến những người xung quanh.
Đoạn trích trên khiến ta liên tưởng tới văn bản ngụ ngôn nào đã học?
Đeo nhạc cho mèo.
Thầy bói xem voi.
Chân, Tay, Tai, Mắt, Miệng.
Ếch ngồi đáy giếng.
Kết thúc nhóm câu Question 51 - 55
Question 56 - 60
.Đọc đoạn trích sau đây và trả lời các câu hỏi từ 56 đến 60:
Lần lần, mấy năm qua, mấy năm sau, bố Mị chết. Nhưng Mị cũng không còn tưởng đến Mị có thể ăn lá ngón tự tử nữa. Ở lâu trong cái khổ, Mị quen khổ rồi. Bây giờ thì Mị tưởng mình cũng là con trâu, mình cũng là con ngựa, là con ngựa phải đổi ở cái tàu ngựa nhà này đến ở cái tàu ngựa nhà khác, ngựa chỉ biết việc ăn cỏ, biết đi làm mà thôi. Mị cúi mặt, không nghĩ ngợi nữa, mà lúc nào cũng chỉ nhớ đi nhớ lại những việc giống nhau, tiếp nhau vẽ ra trước mặt, mỗi năm mỗi mùa, mỗi tháng lại làm đi làm lại: Tết xong thì lên núi hái thuốc phiện, giữa năm thì giặt đay, xe đay, đến mùa thì đi nương bẻ bắp, và dù lúc đi hái củi, lúc bung ngô, lúc nào cũng gài một bó đay trong cánh tay để tước thành sợi. Bao giờ cũng thế, suốt năm suốt đời như thế. Con ngựa, con trâu làm còn có lúc, đêm nó còn được đứng gãi chân, đứng nhai cỏ, đàn bà con gái nhà này thì vùi vào việc làm cả đêm cả ngày.
(Vợ chồng A Phủ – Tô Hoài)
Nội dung chính của đoạn trích trên là gì?
Cuộc đời của Mị tại nhà thống lí Pá Tra vô cùng vất vả, cực nhọc.
Cuộc sống tại nhà thống lí Pá Tra rút cạn sức sống của Mị, Mị chẳng màng đến cái chết.
Cuộc sống tại nhà thống lí Pá Tra vất vả, cực nhọc, rút cạn sức sống của Mị nhưng trong Mị vẫn còn khao khát, hi vọng vào cuộc sống.
Cuộc sống đầy khốn khó nhưng có hi vọng của Mị tại nhà thống lí Pá Tra.
Thái độ của tác giả dành cho nhân vật Mị trong đoạn trích là gì?
Xót xa cùng cực.
Hết lòng ca ngợi.
Tự hào, hãnh diện.
Nhớ thương da diết.
“Lần lần, mấy năm qua, mấy năm sau, bố Mị chết” các từ in đậm nhằm diễn tả điều gì?
Chỉ khoảng thời gian kéo dài triền miên, từ năm này qua năm khác mà Mị đã phải sống và làm việc cực khổ tại nhà thống lí Pá Tra.
Chỉ khoảng thời gian xác định.
Chỉ khoảng thời gian mà Mị đã sống và làm con dâu nhà thống lí Pá Tra.
Chỉ thời gian từ khi Mị trưởng thành cho đến khi Mị trở thành con dâu nhà thống lí Pá Tra.
Mị tự so sánh mình là:
Con trâu, con ngựa.
Con trâu, con bò.
Con bò, con ngựa.
Con ngựa, con dê.
Dựa vào đoạn trích, em hãy chỉ ra từ có nghĩa khác với các từ còn lại.
hái.
bẻ.
tước.
nhai.
Kết thúc nhóm câu Question 56 - 60
Question 61 - 65
.Đọc đoạn trích sau đây và trả lời các câu hỏi từ 61 đến 65:
(1) Covid-19 cho con người thấy mình nhỏ bé trước Tự Nhiên như thế nào. Ngay cả những quốc gia giàu có nhất cũng trở nên thiếu hiệu quả trước dịch bệnh, ngay cả những con người dày dặn kinh nghiệm và kiến thức y học nhất như cũng trở nên lúng túng... Con người bỗng chốc bị xé toang cái vòng an toàn của mình. Covid-19 làm cho chúng ta nhận ra bản chất của con người. Sự giàu có không mua được cho bạn ý thức; quốc gia văn minh không sản sinh ra những con người hành xử văn minh; sự trục lợi của những con người sẵn sàng xem thường mạng sống đồng loại; “Fake News” - tin tức giả tràn lan, sự nguy hiểm khôn lường của một thế giới “ảo” nhưng không “ảo”.
(2) Đến cuối cùng, cũng như bao dịch bệnh khác, Covid-19 là “phép thử” của Tự Nhiên trước con người. Loài người bình đẳng như bao nhiêu loài động vật, cúi đầu trước “phép thử” của mẹ thiên nhiên. Covid-19 sẽ chẳng làm cho con người chết hết đi nhưng cũng như bao nhiêu loài động vật khác, qua một “phép thử” chỉ những kẻ mạnh mẽ nhất mới có thể tồn tại. Chúng ta - con người, sẽ tiến hóa như thế nào? Thay đổi cấu trúc ADN để trở nên mạnh mẽ hay tiếp tục phát huy ưu thế của sinh vật bậc cao nhất - trước hết thay đổi tư duy và ý thức của mình?
(Sưu tầm)
(1) Covid-19 cho con người thấy mình nhỏ bé trước Tự Nhiên như thế nào. Ngay cả những quốc gia giàu có nhất cũng trở nên thiếu hiệu quả trước dịch bệnh, ngay cả những con người dày dặn kinh nghiệm và kiến thức y học nhất như cũng trở nên lúng túng... Con người bỗng chốc bị xé toang cái vòng an toàn của mình. Covid-19 làm cho chúng ta nhận ra bản chất của con người. Sự giàu có không mua được cho bạn ý thức; quốc gia văn minh không sản sinh ra những con người hành xử văn minh; sự trục lợi của những con người sẵn sàng xem thường mạng sống đồng loại; “Fake News” - tin tức giả tràn lan, sự nguy hiểm khôn lường của một thế giới “ảo” nhưng không “ảo”. (2) Đến cuối cùng, cũng như bao dịch bệnh khác, Covid-19 là “phép thử” của Tự Nhiên trước con người. Loài người bình đẳng như bao nhiêu loài động vật, cúi đầu trước “phép thử” của mẹ thiên nhiên. Covid-19 sẽ chẳng làm cho con người chết hết đi nhưng cũng như bao nhiêu loài động vật khác, qua một “phép thử” chỉ những kẻ mạnh mẽ nhất mới có thể tồn tại. Chúng ta - con người, sẽ tiến hóa như thế nào? Thay đổi cấu trúc ADN để trở nên mạnh mẽ hay tiếp tục phát huy ưu thế của sinh vật bậc cao nhất - trước hết thay đổi tư duy và ý thức của mình?
Sưu tầm
Xác định phương thức biểu đạt chính của đoạn trích.
Tự sự.
Miêu tả.
Nghị luận.
Hành chính công vụ.
Tác giả đã sử dụng biện pháp tu từ nào với hình ảnh “mẹ thiên nhiên”?
So sánh.
Nhân hóa.
Ẩn dụ.
Hoán dụ.
“Con người” trong câu “Chúng ta - con người, sẽ tiến hóa như thế nào?” là thành phần biệt lập gì của câu?
Tình thái.
Cảm thán.
Phụ chú.
Gọi đáp.
Theo bài viết, “Fake news” được hiểu là gì?
Tin tức thật.
Tin tức giả tràn lan.
Phép thử của tự nhiên.
Dịch Covid-19.
Xác định nội dung chính của đoạn văn số 1.
Dịch bệnh Covid-19 cho thấy sự nhỏ bé của con người trước tự nhiên.
Dịch bệnh Covid-19 cho thấy sự nhỏ bé của con người trước tự nhiên và bản chất của con người.
Dịch bệnh Covid-19 cho thấy bản chất tầm thường của con người trước những hiểm họa.
Dịch bệnh Covid-19 cho thấy sức mạnh và bản chất của con người.
Kết thúc nhóm câu Question 61 - 65
Question 66 - 70
.Đọc đoạn trích sau đây và trả lời các câu hỏi từ 66 đến 70:
Khi của cải bắt đầu đến, nó đến nhanh và nhiều đến mức người ta tự hỏi rằng không biết trong những năm tháng gian khó vừa qua nó đã trốn nơi đâu? Phát biểu trên có thể làm bạn kinh ngạc, đặc biệt nếu như bạn luôn suy nghĩ theo quan niệm thông thường rằng sự giàu có chỉ đến với những người làm việc chăm chỉ trong một khoảng thời gian dài. Khi bạn bắt đầu nhận thức được rằng cách nghĩ có thể mang lại sự giàu sang, bạn sẽ thấy rằng sự giàu có luôn bắt nguồn từ một trạng thái mang tính chất tinh thần, từ một mục đích rõ ràng chứ không phải bởi bạn có làm việc cật lực hay không. Những gì mà bạn và mọi người khác nên biết là làm thế nào để có được một trạng thái tinh thần tạo ra sự giàu có như thế. Tôi đã dành hai mươi lăm năm để nghiên cứu điều đó vì bản thân tôi cũng muốn biết “những người giàu có đã làm thế nào để đạt được những thành quả như vậy”. Bạn sẽ nhận thấy rằng ngay khi bạn nắm được những triết lí của nguyên tắc thành công này và bắt đầu ứng dụng những nguyên tắc đó, tình hình tài chính của bạn sẽ được cải thiện. Nói một cách hoa mĩ thì mọi thứ bạn chạm tay vào sẽ biến thành vàng. Bạn cho rằng không thể được ư? Thế mà đúng như vậy đấy.
(Nghĩ giàu làm giàu, Napoleon Hill, NXB Thế giới, 2017)
Phương thức biểu đạt chính của đoạn văn trên là gì?
Tự sự.
Biểu cảm.
Miêu tả.
Nghị luận.
Anh/chị hiểu như thế nào về cách diễn đạt: “mọi thứ bạn chạm tay vào sẽ biến thành vàng”?
Mục tiêu, nghị lực vượt qua khó khăn.
Những việc mà chúng ta làm sẽ đem lại lợi nhuận dễ dàng.
Chỉ cần chạm tay, thành công sẽ đến với chúng ta.
Kinh nghiệm làm giàu không khó.
Theo anh/chị, trạng thái tinh thần mà tác giả nhắc tới trong đoạn trích là gì?
Tình yêu của những người làm giàu và khởi nghiệp.
Những gian lao, khó khăn vất vả khi khởi nghiệp và làm giàu.
Mục đích rõ ràng khi bắt đầu khởi nghiệp và làm giàu.
Những nguy hiểm khi bắt đầu khởi nghiệp và làm giàu.
Phong cách ngôn ngữ trong đoạn trích trên là gì?
Nghệ thuật.
Chính luận.
Hành chính.
Báo chí.
Nêu biện pháp tu từ được sử dụng trong câu: Mọi thứ bạn chạm tay vào sẽ biến thành vàng. Bạn cho rằng không thể được ư? Thế mà đúng như vậy đấy.
Nói giảm.
Nói quá.
Nhân hóa.
So sánh.
Kết thúc nhóm câu Question 66 - 70
Question 71 - 100
.Đọc câu hỏi và chọn đáp án A, B, C, D:
Xác định một từ/ cụm từ SAI về mặt ngữ pháp/ hoặc ngữ nghĩa/ logic/ phong cách:
Sau thời kì đổi mới, các nhà văn đã cho ra những tác phẩm văn học phản ánh cuộc sống chân thật hơn.
thời kì.
nhà văn.
cho ra.
phản ánh.
Xác định một từ/ cụm từ SAI về mặt ngữ pháp/ hoặc ngữ nghĩa/ logic/ phong cách:
Thao tác lập luận bình luận là đưa ra ý kiến đánh giá (xác định phải trái, đúng sai, hay dở), nhận xét (trao đổi ý kiến) về một tình hình, một vấn đề.
bình luận.
đánh giá.
nhận xét.
tình hình.
Xác định một từ/ cụm từ SAI về mặt ngữ pháp/ hoặc ngữ nghĩa/ logic/ phong cách:
Tình huống là một lát cắt của sự sống, là một khoảnh khắc diễn ra có phần bất ngờ nhưng cái quan trọng là sẽ chi phối nhiều điều trong cuộc sống con người.
lát cắt.
khoảnh khắc.
bất ngờ.
chi phối.
Xác định một từ/ cụm từ SAI về mặt ngữ pháp/ hoặc ngữ nghĩa/ logic/ phong cách:
Trong sự chuyển mình của Hà Nội, có những cái tưởng được thêm, và thực chất lại là mất đi một cách rất đáng tiếc.
chuyển mình.
cái.
và.
rất đáng tiếc.
Xác định một từ/ cụm từ SAI về mặt ngữ pháp/ hoặc ngữ nghĩa/ logic/ phong cách:
Văn học Việt Nam từ đầu thế kỉ XX đến Cách mạng tháng Tám năm 1945 có vị trí hết sức quan trọng trong toàn bộ tiến trình văn học: duy trì tinh hoa văn hóa dân tộc và mở ra một thời kì văn học mới - văn học hiện đại.
tiến trình.
duy trì.
mở ra.
hiện đại.
Chọn một từ mà nghĩa của nó KHÔNG cùng nhóm với các từ còn lại.
đường sá.
trường lớp.
chợ búa.
bếp núc.
Chọn một từ mà nghĩa của nó KHÔNG cùng nhóm với các từ còn lại.
nguy hiểm.
nguy hại.
nguy kịch.
nguy cơ.
Chọn một từ mà nghĩa của nó KHÔNG cùng nhóm với các từ còn lại.
công tác.
công lí.
bất công.
công minh.
Nhà thơ nào dưới đây KHÔNG thuộc phong trào thơ mới giai đoạn 1932 – 1945?
Xuân Diệu.
Hàn Mặc Tử.
Nguyễn Bính.
Hồ Xuân Hương.
Chọn một từ mà nghĩa của nó KHÔNG cùng nhóm với các từ còn lại.
bồn chồn.
nôn nao.
bâng khuâng.
lao xao.
Chọn từ/cụm từ thích hợp nhất để điền vào chỗ trống trong câu dưới đây:
Tư tưởng tình cảm của nhà văn trong tác phẩm thường không được nói ra bằng lời mà được biểu hiện bằng _______ và _______.
so sánh - biểu cảm.
nhân hóa - hình tượng.
hình tượng - ngôn từ.
hình tượng - biểu cảm.
Điền từ/ cụm từ thích hợp nhất để điền vào chỗ trống trong câu dưới đây:
______ Tiếng Việt của chúng ta đẹp, ______ tâm hồn của người Việt Nam ta rất đẹp, bởi vì đời sống, cuộc đấu tranh của nhân dân ta từ trước tới nay là cao quý, là vĩ đại, nghĩa là rất đẹp.
Bởi vì/ cho nên.
Có lẽ/ bởi vì.
Có thể/ cho nên.
Không những/ mà còn.
Điền từ/ cụm từ thích hợp nhất để điền vào chỗ trống trong câu dưới đây:
Lao động là _______ thiêng liêng, là nguồn sống, nguồn hạnh phúc của mỗi người.
nhiệm vụ.
trách nhiệm.
nghĩa vụ.
bổn phận.
Chọn từ/ cụm từ thích hợp nhất để điền vào chỗ trống trong câu dưới đây:
_________ là tác phẩm tự sự dân gian có quy mô lớn, sử dụng ngôn ngữ có vần, nhịp, xây dựng những hình tượng nghệ thuật hoành tráng, hào hùng để kể về một hoặc nhiều biến cố lớn diễn ra trong đời sống cộng đồng của cư dân thời cổ đại.
Thần thoại.
Sử thi.
Truyền thuyết.
Truyện ngụ ngôn.
Chọn từ/cụm từ thích hợp nhất để điền vào chỗ trống trong câu dưới đây:
Người anh hùng Từ Hải là một sáng tạo _________ của Nguyễn Du về phương diện cảm hứng sáng tạo và nghệ thuật miêu tả.
đặc biệt.
đặc sắc.
sắc nét.
sắc sảo.
Đọc đoạn trích sau đây và trả lời câu hỏi:
"Làm sao được tan ra Thành trăm con sóng nhỏ Giữa biển lớn tình yêu Để ngàn năm còn vỗ."
(Sóng – Xuân Quỳnh)
Đoạn thơ trên thể hiện khát vọng gì của nhân vật trữ tình?
Hòa nhập vào tình yêu lớn để tình yêu trở nên vĩnh cửu.
Tình yêu mãi bồi hồi, sôi nổi trong trái tim tuổi trẻ.
Được biến thành sóng để đi muôn nơi.
Có tình yêu mãnh liệt, thủy chung.
Đọc đoạn trích sau đây và trả lời câu hỏi:
"Ngày ngày mặt trời đi qua trên lăng Thấy một mặt trời trong lăng rất đỏ."
(Viếng lăng Bác – Viễn Phương)
Từ “mặt trời” thứ hai chỉ đối tượng nào?
Mặt trời của tự nhiên.
Đoàn người vào viếng lăng Bác.
Nhân dân miền Nam.
Chủ tịch Hồ Chí Minh.
Đọc đoạn trích sau đây và trả lời câu hỏi:
"Đâu những ngày xưa, tôi nhớ tôi Băn khoăn đi kiếm lẽ yêu đời Vơ vẩn theo mãi vòng quanh quẩn Muốn thoát, than ôi, bước chẳng rời Rồi một hôm nào, tôi thấy tôi Nhẹ nhàng như con chim cà lơi Say đồng hương nắng vui ca hát Trên chín tầng cao bát ngát trời..."
(Nhớ đồng – Tố Hữu)
Nội dung chính của đoạn trích trên là gì?
Nỗi niềm khát khao tự do của tác giả.
Hình ảnh quê hương luôn hiện hữu trong tâm tư của tác giả.
Những kỉ niệm từ ngày tác giả còn hoạt động cách mạng.
Không gian xung quanh nơi tác giả đang bị giam cầm.
Đọc đoạn trích sau và trả lời câu hỏi:
"Mưa đổ bụi êm êm trên bến vắng, Đò biếng lười nằm mặc nước sông trôi; Quán tranh đứng im lìm trong vắng lặng Bên chòm xoan hoa tím rụng tơi bời Ngoài đường đê cỏ non tràn biếc cỏ, Đàn sáo đen sà xuống mổ vu vơ Mấy cánh bướm rập rờn trôi trước gió. Những trâu bò thong thả cúi ăn mưa."
(Chiều xuân – Anh Thơ)
Nội dung chính của bức tranh chiều xuân là gì?
Bức tranh làng quê bình dị, thanh bình, đượm buồn.
Bức tranh làng quê nhộn nhịp, sôi động.
Bức tranh con người và cảnh vật êm đềm, nhẹ nhàng.
Bức tranh sinh hoạt của con người.
Đọc đoạn trích sau đây và trả lời câu hỏi:
"Đủng đỉnh chiều hôm dắt tay, Trong thế giới phút chim bay. Non cao non thấp mây thuộc, Cây cứng cây mềm gió hay. Nước mấy trăm thu còn vậy, Nguyệt bao nhiêu kiếp nhẫn nay*. Ngoài chưng mọi chốn đều thông hết, Bui một lòng người cực hiểm thay."
(Mạn thuật – Nguyễn Trãi)
*nhẫn nay: cho đến bây giờ.
Theo bài thơ, thứ gì trong thế giới này thực khó đoán biết?
núi non.
cây cối.
lòng người.
trăng nước.
Đọc đoạn trích sau đây và trả lời câu hỏi:
"Bèo dạt về đâu, hàng nối hàng; Mênh mông không một chuyến đò ngang. Không cầu gợi chút niềm thân mật, Lặng lẽ bờ xanh tiếp bãi vàng."
(Tràng Giang – Huy Cận)
Cái cảm giác trống trải, xa vắng của không gian “tràng giang” trong khổ thơ, chủ yếu được tô đậm bởi yếu tố nghệ thuật nào?
Cảnh ngụ tình.
Ẩn dụ.
Điệp từ và từ phủ định.
Âm hưởng, nhạc điệu.
Đọc đoạn trích sau đây và trả lời câu hỏi:
"Nhiều năm đã trôi qua. Tôi sống ở Thành phố Hồ Chí Minh thỉnh thoảng có việc phải ra Hà Nội đều ghé lại thăm cô Hiền. Chú tôi đã mất rồi. Các em đã có gia đình riêng. Chúng nó cũng đã bắt đầu già. Lớp các cụ trong họ chỉ còn vài người, cô Hiền là một. Cô đã yếu nhiều, đã già hẳn, ngoài bảy mươi rồi còn gì, nhưng cô vẫn là người của hôm nay, một người Hà Nội của hôm nay, thuần tuý Hà Nội, không pha trộn. Nơi tiếp khách của cô sau tấm bình phong cao hơn đầu người bằng gỗ chạm suốt mấy chục năm không hề thay đổi. Một bộ xa lông gụ “cái khánh”, cái sập gụ chân quỳ chạm rất đẹp nhưng không khảm, cái tủ chùa một cánh bên trong bày một cái lọ men Thuý hồng, một cái lư hương đời Hán, một cái liễn hấp sâm Giang Tây, và mấy thứ bình lọ màu men thì thường nhưng có dáng lạ, chả rõ từ đời nào. Cô đang lau đánh một cái bát thuỷ tiên men đỏ, hai cái đầu rồng gắn nối bằng đồng, miệng chân cũng đều bịt đồng, thật đẹp. Bên ngoài trời rét, mưa rây lả lướt chỉ đủ làm ẩm áo chứ không làm ướt, lại nhìn một bà lão (nếu là một thiếu nữ thì phải hơn) lau đánh cái bát bày thuỷ tiên thấy Tết quá, Hà Nội quá, muốn ở thêm ít ngày ăn lại một cái Tết Hà Nội."
(Một người Hà Nội – Nguyễn Khải)
Hình ảnh cái bát thủy tiên men đỏ trong đoạn trích trên có ý nghĩa gì?
Ẩn dụ cho một đất nước đang trong thời kì ổn định về chính trị và vươn lên về kinh tế.
Thể hiện sự sạch sẽ, cẩn thận của người Hà Nội xưa.
Đại diện cho nét đẹp cổ truyền nghìn năm văn hiến của thủ đô Hà Nội.
Mang đậm những giá trị truyền thống, thể hiện nét đẹp văn hóa của người Hà Nội xưa.
Đọc đoạn trích sau đây và trả lời câu hỏi:
"Có một dòng thi ca về sông Hương, và tôi hi vọng đã nhận xét một cách công bằng về nó khi nói rằng dòng sông ấy không bao giờ tự lặp lại mình trong cảm hứng của các nghệ sĩ. Mỗi nhà thơ đều có một khám phá riêng về nó: từ xanh biếc thường ngày, nó bỗng thay màu thực bất ngờ, ‘Dòng sông trắng - lá cây xanh’ trong cái nhìn tinh tế của Tản Đà, từ tha thướt mơ màng nó chợt nhiên hùng tráng lên ‘như kiếm dựng trời xanh’ trong khí phách của Cao Bá Quát; từ nỗi quan hoài vạn cổ với bóng chiều bảng lảng trong hồn thơ Bà Huyện Thanh Quan, nó đột khởi thành sức mạnh phục sinh của tâm hồn trong thơ Tố Hữu. Và ở đây, một lần nữa, sông Hương quả thực là ‘Kiều’, rất ‘Kiều’ trong cái nhìn thắm thiết tình người của tác giả ‘Từ ấy’."
(Ai đã đặt tên cho dòng sông – Hoàng Phủ Ngọc Tường)
Trong đoạn trích trên, vẻ đẹp của sông Hương được khám phá từ góc nhìn nào?
Âm nhạc.
Thơ ca.
Lịch sử.
Địa lí.
Đọc đoạn trích sau và trả lời câu hỏi:
"Bạn không nên để thất bại ngăn mình tiến về phía trước. Hãy suy nghĩ tích cực về thất bại và rút ra kinh nghiệm. Thực tế những người thành công luôn dùng thất bại như là một công cụ để học hỏi và hoàn thiện bản thân. Họ có thể nghi ngờ phương pháp làm việc đã dẫn họ đến thất bại nhưng không bao giờ nghi ngờ khả năng của chính mình."
Nhận xét về cách thức trình bày đoạn văn trên:
Diễn dịch.
Tổng phân hợp.
Quy nạp.
Song hành.
Đọc đoạn trích sau đây và trả lời câu hỏi:
"Thư viết cho em nhòe nét mực Phên thưa sương muối cứ bay vào Núi rét đêm qua chừng mất ngủ Sáng ra thêm bạc một nhành lau.
Ở đây tuyết trắng bên chăn mỏng Bếp đỏ cơm trưa núi vẫn mờ Mực đóng thành băng trong ruột bút Hơ hoài than đỏ chảy thành thư."
(Thư mùa đông – Hữu Thỉnh)
Chi tiết nào không gợi tả điều kiện khắc nghiệt của thời tiết?
Sương muối bay vào.
Núi rét.
Tuyết trắng.
Bếp đỏ cơm trưa.
Đọc đoạn trích sau đây và trả lời câu hỏi:
"Đan Thiềm (thất vọng): - Chỉ tại ông không nghe tôi, dùng dằng mãi. Bây giờ… (Nói với Ngô Hạch) Xin tướng quân… Ngô Hạch: Dẫn nó đi, không cho nó nói nhảm nữa, rờm tai (quân sĩ dẫn nàng ra) Đan Thiềm: Ông Cả! Đài lớn tan tành! Ông Cả ơi! Xin cùng ông vĩnh biệt! (Họ kéo nàng ra tàn nhẫn)"
(Trích Vĩnh biệt Cửu Trùng Đài – Nguyễn Huy Tưởng)
Bi kịch của Vũ Như Tô là gì?
Muốn cống hiến nhưng không được cống hiến.
Bi kịch của người nghệ sĩ không giải quyết được mối quan hệ giữa khát vọng nghệ thuật và hiện thực xã hội; giữa người nghệ sĩ và công dân.
Từ chối xây dựng Cửu Trùng Đài nhưng rồi phải xây dựng.
Ông muốn xây dựng và để lại một công trình vĩ đại và bền vững như trăng sao, để cho nhân dân nghìn thu hãnh diện, nhưng bị đập phá và bị giết.
Đọc đoạn trích sau đây và trả lời câu hỏi:
"Quyện điểu quy lâm tầm túc thụ Cô vân mạn mạn độ thiên không."
(Chiều tối – Hồ Chí Minh)
Âm hưởng chủ đạo của hai câu thơ trên là gì?
Phấp phỏng, âu lo.
Cô đơn, trống vắng.
Mệt mỏi, cô quạnh.
Chán nản, thất vọng.
Đọc đoạn trích sau đây và trả lời câu hỏi:
"Khi mỗi mùa rau khúc nở một màu trắng mơ hồ như sương đọng trên những cánh đồng thì trong tôi lại vang lên một câu hỏi. Câu hỏi năm nào cũng vang lên trong tôi và kéo dài mấy chục năm rồi. Một câu hỏi đơn giản đến mức hình như chẳng có ai một lần đặt câu hỏi đó trong cuộc đời mình: Làm thế nào mà những cây rau khúc bé bỏng lại có thể giữ được sự sống của chúng trong đất suốt một năm trời qua mưa bão, nắng gió và đến một ngày lại thức dậy tràn đầy sức sống như thế? Những hạt rau khúc nhỏ li ti như những hạt bụi. Chúng vùi sâu trong đất với mưa nắng, ngập lụt và bao biến động mà không bị giết chết. Ai cho những hạt rau khúc bé bỏng kia sức mạnh phi thường và sự chịu đựng bền bỉ đến như vậy? Có những câu hỏi về những điều thật nhỏ bé lại chứa đựng cả một bí ẩn lớn của vũ trụ. Và những thứ nhỏ bé ấy lại là ‘biển’ chỉ đường cho con người trong đời sống hầu như mù mờ và vô định này."
(Tôi khóc những cánh đồng rau khúc – Nguyễn Quang Thiều)
Từ “chúng” trong câu văn “Chúng vùi sâu trong đất với mưa nắng, ngập lụt và bao biến động mà không bị giết chết.” thay thế cho đối tượng nào trước đó?
Những hạt bụi nhỏ li ti.
Những hạt bụi.
Cây rau khúc.
Những hạt rau khúc.
Đọc đoạn trích sau và trả lời câu hỏi:
"Từ lưng đèo Dốc núi mù che Các anh về Xôn xao làng tôi bé nhỏ Nhà lá đơn sơ Nhưng tấm lòng rộng mở Nồi cơm nấu dở Bát nước chè xanh Ngồi vui kể chuyện tâm tình bên nhau."
(Bao giờ trở lại – Hoàng Trung Thông)
Đoạn thơ trên diễn tả tình cảm nào sau đây?
Tình đồng đội.
Tình làng nghĩa xóm.
Tình đôi lứa.
Tình quân dân.
Đọc đoạn trích sau đây và trả lời câu hỏi:
"Một trăm thứ than, than thân là than không ai quạt.
Một trăm thứ bạc, bạc tình bán chẳng ai mua."
“Than” và “bạc” ở câu ca dao dưới được sử dụng biện pháp tu từ gì?
Chơi chữ.
Ẩn dụ.
Hoán dụ.
Nói quá.
Kết thúc nhóm câu Question 71 - 100
Phần 3. Khoa học
Pininfarina Battista 2020 đang là siêu xe tăng tốc nhanh nhất thế giới khi chỉ mất 1,9 giây để đạt vận tốc 100 km/h, có khối lượng khoảng 1996 kg. Lực để tạo ra gia tốc này là bao nhiêu?
9141,6 N
2141,6 N
2941,6 N
29141,6 N
Cho ba lực đồng quy cùng nằm trên một mặt phẳng, có độ lớn

30 N
0 N
60 N
90 N
Một viên đạn khối lượng
Một con lắc đơn có khối lượng vật nặng
0,27 J
0,5 J
1 J
0,13 J
Thí nghiệm đo khoảng cách từ Trái Đất đến Mặt Trăng bằng tia laze bằng cách các tia laze được phóng ra tại đài thiên văn trên Trái Đất sẽ được phóng lên hệ thống phản chiếu trên Mặt Trăng. Các xung ánh sáng laze được truyền đi và phản xạ trở lại Trái Đất và thời gian khứ hồi được ghi nhận là
Một còi báo động phát sóng âm trong một môi trường đẳng hướng. Tại vị trí cách còi một khoảng bằng
25 W/m²
2,5 W/m²
0,25 W/m²
0,025 W/m²
Tại hai điểm A và B cách nhau 5 cm trong chân không có hai điện tích điểm có điện tích lần lượt là
1273 kV/m
1444 kV/m
1288 kV/m
1285 kV/m
Cho mạch điện có sơ đồ như hình vẽ. Biết

Cho số Avogadro
Một động cơ hơi nước cần một nồi hơi “súp de” để đun nước sôi tạo hơi. Việc giãn nở của hơi tạo áp lực đẩy lên pít-tông hay các cánh turbine, khi đó chuyển động thẳng được chuyển thành chuyển động quay để quay bánh xe hay truyền động cho các bộ phận cơ khí khác. Để vận hành một động cơ hơi nước có công suất
75%
25%
50%
85%
Người ta dùng bơm có pít-tông diện tích
9
10
8
6
Một tàu ngầm dùng để nghiên cứu biển đang lặn ở độ sâu 100 m. Người ta mở một bình dung tích 60 lít chứa khí ở áp suất
51 lít
151 lít
510 lít
680 lít
Một đoạn dây dẫn thẳng MN có chiều dài
Trên hai ray kim loại cố định, cách nhau

Question 115 - 117
.Sử dụng thông tin cung cấp dưới dây và trả lời các câu hỏi
Phản ứng phân hạch dây chuyền tự duy trì có điều khiển được thực hiện trong thiết bị gọi là lò phản ứng hạt nhân. Nhiên liệu phân hạch trong phần lớn các lò phản ứng là
Nhiên liệu trong một lò phản ứng hạt nhân là
2 và 6
6 và 2
3 và 4
4 và 3
Khi hệ số nhân notron trong lò phản ứng lớn hơn 1, các thanh điều khiển chứa Bo hoặc Cadimi sẽ được
nâng lên.
hạ xuống.
giữ nguyên.
bỏ ra khỏi lò phản ứng.
Trong phản ứng phân hạch hạt nhân urani U235, năng lượng trung bình toả ra khi phân chia một hạt nhân là 200 MeV. Một nhà máy điện nguyên tử dùng nguyên liệu urani, có công suất điện P, hiệu suất biến đổi nhiệt năng thành điện năng của nhà máy là 30%. Lượng nhiên liệu urani tiêu thụ hằng năm là 2461 kg. Tính P.
1800 MW
1920 MW
1900 MW
1860 MW
Kết thúc nhóm câu Question 115 - 117
Enthalpy tạo thành chuẩn của một chất (
Cho phản ứng nhiệt nhôm:
Biết nhiệt tạo thành, nhiệt dung của các chất được cho trong bảng sau:
Giả thiết phản ứng xảy ra vừa đủ, hiệu suất 100%; nhiệt độ ban đầu là

2636K
2934K
333K
369K
Polystyrene là một loại nhựa thông dụng được dùng để làm đường ống nước. Nguyên liệu để sản xuất polystyrene là styrene (
Cho các trường hợp sau:
(a) Tăng áp suất của bình phản ứng.
(b) Tăng nhiệt độ của phản ứng.
(c) Tăng nồng độ của
(d) Thêm chất xúc tác.
(e) Tách styrene ra khỏi bình phản ứng.
Số trường hợp làm cân bằng hoá học của phản ứng trên chuyển dịch theo chiều thuận là
3
4
5
2
Điện phân dung dịch
Ở cathode xảy ra sự khử:
Ở anode xảy ra sự oxi hóa:
Ở anode xảy ra sự khử:
Ở cathode xảy ra sự oxi hóa:
Trong phân tử HBr, nguyên tử hydrogen và bromine đã lần lượt đạt cấu hình electron bền của các khí hiếm nào dưới đây?
Neon và argon.
Helium và xenon.
Helium và radon.
Helium và krypton.
Thực hiện các thí nghiệm sau:
(a) Cho kim loại K vào dung dịch
(b) Đốt bột
(c) Cho
(d) Cho
(e) Điện phân
Số thí nghiệm có phản ứng oxi hóa - khử xảy ra là
2
1
3
4
Khi thêm 1,0 gam
Để xác định nồng độ dung dịch
9%
17%
12%
21%
Thực hiện thí nghiệm tách β-carotene từ nước ép cà rốt:
Chuẩn bị: nước ép cà rốt, hexane; cốc thuỷ tinh 100 mL, bình tam giác 100 mL, phễu chiết 60 mL, giá thí nghiệm.
Tiến hành:
- Cho khoảng 20 mL nước ép cà rốt vào phễu chiết. Thêm tiếp khoảng 20 mL hexane, lắc đều khoảng 2 phút.
- Để yên phễu chiết trên giá thí nghiệm khoảng 5 phút để chất lỏng tách thành hai lớp.
- Mở khoá phễu chiết cho phần nước ở dưới chảy xuống, còn lại phần dung dịch β-carotene hoà tan trong hexane.
Cho các phát biểu sau
(1) Trước khi chiết lớp hexane trong phễu không có màu; sau khi chiết lớp hexane trong phễu có màu vàng cam.
(2) Thí nghiệm tách β-carotene từ nước cà rốt dựa theo nguyên tắc chiết lỏng – lỏng.
(3) Thí nghiệm tách β-carotene từ nước cà rốt dựa theo nguyên tắc chiết lỏng – rắn.
(4) Dung môi là hexane có khả năng hoà tan β-carotene nhưng không tan trong nước và có nhiệt độ sôi thấp dễ chiết.
(5) Phễu chiết tách thành hai lớp, lớp bên trên là β-carotene hoà tan trong hexane, lớp dưới là nước.
Số phát biểu đúng là
2
3
4
5
Nếu thuỷ phân không hoàn toàn pentapeptide Gly-Ala-Gly-Ala-Gly thì thu được tối đa bao nhiêu dipeptide khác nhau?
3
1
2
4
Glutamic acid là một trong 20 amino acid cần thiết cho cơ thể, giữ vai trò quan trọng trong quá trình trao đổi chất của cơ thể, xây dựng cấu trúc protein và trong các biến đổi sinh hoá của hệ thần kinh trung ương. Biết rằng glutamic acid có công thức cấu tạo như hình sau:
Phát biểu nào dưới đây là đúng?

Nhóm chức trong glutamic acid: –NH₂; –CO⁻; –OH.
Phân tử khối của glutamic acid là 145.
Glutamic acid là hợp chất đa chức.
Công thức phân tử của glutamic acid trùng với công thức đơn giản nhất.
Giải Nobel Hóa học 2021 được trao cho hai nhà khoa học Benjamin List và David W.C. MacMillan “cho sự phát triển quá trình xúc tác hữu cơ bất đối xứng” mở ra các ứng dụng trong việc xây dựng phân tử. Trong đó Benjamin List đã sử dụng proline làm xúc tác cho phản ứng cộng aldol. Proline có công thức cấu tạo như sau:
(1) Proline có chứa một nhóm chức alcohol.
(2) Proline có chứa một nhóm chức amine.
(3) Một phân tử proline có chứa 6 nguyên tử carbon và 8 nguyên tử H.
(4) Proline là hợp chất đa chức.
(5) Phân tử proline chứa 17 nguyên tử của các nguyên tố.
(6) Phần trăm khối lượng của oxygen trong proline là 27,83%.
Số phát biểu đúng là

2
4
3
5
Xà phòng hoá hoàn toàn 132,9 kg chất béo bằng dung dịch NaOH vừa đủ, thu được 13,8 kg glycerol và muối dùng để làm xà phòng. Hỏi dùng toàn bộ lượng muối trên trộn với chất phụ gia thì thu được bao nhiêu bánh xà phòng? Cho biết, mỗi bánh xà phòng nặng 100 gam, trong đó lượng muối của acid béo chiếm 72% về khối lượng. Kết quả làm tròn đến hàng đơn vị. (nhập đáp án vào ô trống)
1904
1350
1245
1172
Cho các phát biểu sau:
(1) Các chất CH₃NH₂, C₂H₅OH, NaHCO₃ đều có thể phản ứng với HCOOH.
(2) Oxi hoá không hoàn toàn ethene có thể thu được ethanal.
(3) Phenol ít tan trong ethanol.
(4) Phenol tham gia phản ứng thế bromine vào vòng benzene.
Các phát biểu đúng là
(1), (2), (3), (4)
(1), (3), (4)
(2), (3), (4)
(1), (2), (4)
Trong điều kiện thích hợp glucose lên men tạo thành khí CO₂ và
C₂H₅OH.
CH₃COOH.
HCOOH.
CH₃CHO.
Question 132 - 134
.Đọc ngữ cảnh dưới đây và trả lời các câu hỏi
Vụ nổ Halifax là vụ nổ xảy ra ngày 6 tháng 12 năm 1917, tại Halifax, NovaScotia, Canada khi một tàu hàng Pháp, chở đầy thuốc nổ (picric acid) chiến tranh, gặp tai nạn với một tàu Na Uy tại "eo hẹp" của cảng Halifax. Khoảng 1 500 người đã thiệt mạng ngay tức khắc, 500 người khác chết ngay sau đó bởi những vết thương do mảnh vỡ, lửa, nhà sập và trên 9 000 người bị thương. Đây là vụ nổ nhân tạo lớn nhất cho tới khi vụ thử bom nguyên tử đầu tiên được thực hiện năm 1945 và là một trong những vụ nổ phi hạt nhân lớn nhất cho đến nay.
Thành phần chính của thuốc nổ nói trên là picric acid (2, 4, 6 – trinitrophenol). Mặc dù đạn pháo nhồi picric acid có sức công phá lớn nhưng không bền khi chất này ăn mòn vỏ bom tạo ra picrate kim loại, vốn nhạy và nguy hiểm hơn chính acid. Vào thế kỷ 20, phần lớn việc sử dụng picric acid được thay thế bằng loại thuốc nổ TNT.
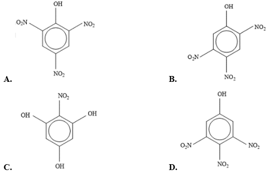
Công thức của picric acid là

Hình A
Hình B
Hình C
Hình D
Vì sao picric acid dễ ăn mòn vỏ aluminium?
Nhóm –NO₂ đầy electron mạnh (do chứa liên kết đôi), nhất là ở các vị trí –o, –p nên picric acid có tính acid mạnh, dễ dàng tác dụng với các kim loại như Fe, Al.
Nhóm –OH đầy electron mạnh (do chứa liên kết đơn), nhất là ở các vị trí –o, –p nên picric acid có tính acid mạnh, dễ dàng tác dụng với các kim loại như Fe, Al.
Nhóm –OH hút electron mạnh (do chứa liên kết đơn), nhất là ở các vị trí –o, –p nên picric acid có tính acid mạnh, dễ dàng tác dụng với các kim loại như Fe, Al.
Nhóm –NO₂ hút electron mạnh (do chứa liên kết đôi), nhất là ở các vị trí –o, –p nên picric acid có tính acid mạnh, dễ dàng tác dụng với các kim loại như Fe, Al.
Để tổng hợp picric acid, người ta cho 47 g phenol phản ứng với hỗn hợp HNO₃ đặc/H₂SO₄ đặc, dư. Khối lượng picric acid thu được là (biết hiệu suất phản ứng là 65%)
74,425 gam.
114,50 gam.
176,15 gam.
78,425 gam.
Kết thúc nhóm câu Question 132 - 134
Trong cấu trúc của tế bào, nước phân bố chủ yếu ở
chất nguyên sinh.
nhân tế bào.
các bào quan.
màng sinh chất.
Kích thước nhỏ giúp tế bào vi khuẩn có lợi thế về
khả năng di chuyển trong không gian.
khả năng cảm ứng đối với điều kiện ngoại cảnh.
khả năng sinh trưởng và sinh sản.
khả năng chống lại sự xâm nhập của virus.
Đâu không phải tên một loại mô thực hiện chức năng sinh trưởng ở thực vật?
Mô phân sinh bì.
Mô phân sinh đỉnh.
Mô phân sinh lóng.
Mô phân sinh bên.
Ở các loài chim, diều được hình thành từ bộ phận nào sau đây của ống tiêu hóa?
Thực quản.
Tuyến nước bọt.
Khoang miệng.
Dạ dày.
Quá trình truyền tin qua synapse hóa học diễn ra theo trật tự nào?
Khe synapse → màng trước synapse → chuỳ synapse → phần sau synapse.
Phần sau synapse → khe synapse → chuỳ synapse → màng trước synapse.
Chuỳ synapse → màng trước synapse → khe synapse → phần sau synapse.
Màng trước synapse → chuỳ synapse → khe synapse → màng sau synapse.
Để tìm hiểu về quá trình hô hấp ở thực vật, một bạn học sinh đã làm thí nghiệm theo đúng quy trình với 50 g hạt đậu đang nảy mầm, nước vôi trong và các dụng cụ thí nghiệm đầy đủ. Nhận định nào sau đây đúng?
Thí nghiệm này chỉ thành công khi tiến hành trong điều kiện không có ánh sáng.
Nếu thay hạt đang nảy mầm bằng hạt khô thì kết quả thí nghiệm vẫn không thay đổi.
Nếu thay nước vôi trong bằng dung dịch xút thì kết quả thí nghiệm cũng giống như sử dụng nước vôi trong.
Nước vôi trong bị vẩn đục là do hình thành
Trong một chu kì kinh nguyệt kéo dài 28 ngày thì thể vàng được hình thành và phát triển ở giai đoạn nào của chu kì?
Ngày thứ nhất đến ngày thứ 7.
Ngày thứ 7 đến ngày thứ 14.
Ngày thứ 14 đến ngày thứ 21.
Ngày thứ 21 đến ngày thứ 28.
Các bộ ba trên mRNA có vai trò quy định tín hiệu kết thúc quá trình dịch mã là
3’UAG5’; 3’UAA5’; 3’UGA5’.
3’GAU5’; 3’AAU5’; 3’AGU5’.
3’UAG5’; 3’UAA5’; 3’AGU5’.
3’GAU5’; 3’AAU5’; 3’AUG5’.
Khi nói về đột biến cấu trúc nhiễm sắc thể, phát biểu nào sau đây đúng?
Đột biến cấu trúc nhiễm sắc thể chỉ xảy ra ở nhiễm sắc thể thường mà không xảy ra ở nhiễm sắc thể giới tính.
Đột biến đảo đoạn làm cho gene từ nhóm liên kết này chuyển sang nhóm liên kết khác.
Đột biến mất đoạn không làm thay đổi số lượng gene trên nhiễm sắc thể.
Đột biến chuyển đoạn có thể không làm thay đổi số lượng và thành phần gene của một nhiễm sắc thể.
Khi nói về nuôi cấy mô và tế bào thực vật, phát biểu nào sau đây không đúng?
Phương pháp nuôi cấy mô tiết kiệm được diện tích nhân giống.
Phương pháp nuôi cấy mô có thể bảo tồn được một số nguồn gene quý hiếm có nguy cơ tuyệt chủng.
Phương pháp nuôi cấy mô có thể tạo ra số lượng cây trồng lớn trong một thời gian ngắn.
Phương pháp nuôi cấy mô được sử dụng để tạo nguồn biến dị tổ hợp.
Một allele nào đó dù có lợi cũng có thể bị loại bỏ hoàn toàn khỏi quần thể là do tác động của nhân tố nào sau đây?
Giao phối ngẫu nhiên.
Chọn lọc tự nhiên.
Các yếu tố ngẫu nhiên.
Giao phối không ngẫu nhiên.
Những năm gần đây vùng Đồng bằng sông Cửu Long của nước ta thường xuyên bị nhiễm mặn do biến đổi khí hậu làm nước biển dâng. Nhằm tìm kiếm các loài thực vật phù hợp cho sản xuất, các nhà khoa học đã tiến hành các thử nghiệm trên hai loài thực vật đầm lầy (loài A và loài B) ở vùng này. Để nghiên cứu ảnh hưởng của nước biển tới hai loài này, chúng được trồng trong đầm nước mặn và đầm nước ngọt. Kết quả nghiên cứu được thể hiện ở sơ đồ dưới đây:
Khi nói về 2 loài này, có bao nhiêu phát biểu sau đây đúng?
I. Loài A chịu mặn tốt hơn loài B.
II. Trong cùng một độ mặn, loài B có sinh khối cao hơn loài A.
III. Trong tương lai nước biển dâng loài A sẽ trở nên phổ biến hơn loài B.
IV. Cả 2 loài A và B đều là sinh trưởng tốt trong điều kiện nước ngọt.

3
2
4
1
Xét quần thể một loài thực vật giao phấn đang ở trạng thái cân bằng di truyền, xét 1 gene có hai allele. Allele A quy định hoa đỏ trội hoàn toàn so với allele a quy định hoa trắng. Theo định luật Hardy - Weinberg, có bao nhiêu quần thể sau đây đang cân bằng về mặt di truyền?
I. Quần thể có 100% cây hoa trắng.
II. Quần thể có 100% cây hoa đỏ mang kiểu gene AA.
III. Quần thể có tần số các kiểu gene lần lượt là: 0,64AA : 0,32Aa : 0,04aa.
IV. Quần thể có tần số các kiểu gene lần lượt là: 0,5AA : 0,5Aa.
2
1
3
4
ruồi giấm, allele A quy định thân xám trội hoàn toàn so với allele a quy định thân đen; allele B quy định cánh dài trội hoàn toàn so với allele b quy định cánh cụt; 2 cặp gene này nằm trên NST thường; allele D quy định mắt đỏ trội hoàn toàn so với allele d quy định mắt trắng, cặp gene này nằm ở vùng không tương đồng trên NST giới tính X. Phép lai P dị hợp 3 cặp gene: Ruồi thân xám, cánh dài, mắt đỏ × Ruồi thân xám, cánh dài, mắt đỏ, thu được F₁ có 17,5% ruồi thân xám, cánh dài, mắt trắng. Theo lí thuyết, trong tổng số ruồi cái thân xám, cánh dài, mắt đỏ ở F₁, số ruồi không thuần chủng chiếm tỉ lệ là bao nhiêu? (nhập đáp án vào ô trống?)
5/7
6/7
2/7
1/7
Question 149 - 151
.Đọc ngữ cảnh dưới đây và trả lời các câu hỏi
Điều hòa sau phiên mã được thực hiện thông qua hai cơ chế: Chế biến RNA sau phiên mã và phân giải RNA.
- Ở sinh vật nhân thực, RNA tạo ra sau phiên mã chỉ là RNA sơ khai, cần phải trải qua quá trình chế biến bao gồm: gắn mũ đầu 5', gắn đuôi poly A ở đầu 3', cắt các intron và nối các exon lại với nhau. Trong quá trình cắt nối, nhiều mRNA khác nhau có thể được tạo ra từ một mRNA sơ khai do sự tổ hợp khác nhau của các exon. Tuy nhiên, trong mỗi tế bào, mỗi gene chỉ tạo ra một loại mRNA trưởng thành.
- Kiểm soát tuổi thọ của mRNA trong tế bào cũng là cách kiểm soát lượng sản phẩm của gene. Nói chung, tuổi thọ của mRNA ở sinh vật nhân thực thường dài hơn so với sinh vật nhân sơ. Tuổi thọ của mRNA được xác định bởi chính cấu trúc của các vùng (vùng không dịch mã) trên phân tử đó. Thường những RNA có đuôi poly A ngắn thì rất dễ bị phân hủy.

Ở sinh vật nhân thực, đuôi poly A được gắn vào vị trí nào của phân tử mRNA?
Đầu 5' của phân tử mRNA.
Đầu 3' của phân tử mRNA.
Ở giữa phân tử mRNA.
Ở cả 2 đầu của phân tử mRNA.
Trong 1 tế bào của người, giả sử có 4 loại phân tử mRNA. Theo lí thuyết, loại phân tử mRNA nào sau đây có tuổi thọ ngắn nhất?
Phân tử mRNA có 1200 nucleotide, trong đó đuôi poly A có tổng số 22 nucleotide.
Phân tử mRNA có 1500 nucleotide, trong đó đuôi poly A có tổng số 18 nucleotide.
Phân tử mRNA có 1028 nucleotide, trong đó đuôi poly A có tổng số 35 nucleotide.
Phân tử mRNA có 1300 nucleotide, trong đó đuôi poly A có tổng số 16 nucleotide.
Sự gắn thêm các nucleotide vào đuôi poly A trên phân tử mRNA có làm thay đổi trình tự amino acid trên chuỗi polipeptide hay không?
Có thể sẽ làm thay đổi trình tự amino acid. Vì nó có thể làm thay đổi các mã di truyền ở trên mRNA.
Chắc chắn sẽ làm thay đổi trình tự amino acid. Vì gắn thêm nucleotide thì sẽ làm thay đổi các mã di truyền ở trên mRNA.
Chắc chắn không làm thay đổi trình tự amino acid. Vì đuôi poly A nằm ở sau codon kết thúc dịch mã.
Có thể không làm thay đổi trình tự amino acid. Vì liên quan đến vị trí đọc mã di truyền ở trên mRNA.
Kết thúc nhóm câu Question 149 - 151
Những đại diện tiêu biểu trong trào lưu Triết học Ánh sáng ở Pháp (thế kỉ XVIII) là
C.Mác, Ph.Ăng-ghen, V.I.Lê-nin.
S.Mông-te-xki-ơ, Ph.Vôn-te, G.Rút-xô.
C.Phu-ri-ê, C.Xanh-xi-mông, R.Ô-oen.
A.Xmit, C.Xanh-xi-mông, Ph.Vôn-te.
Loại hình nhà ở nào được coi là biểu tượng văn hoá thích hợp với điều kiện khí hậu nóng ẩm ở các địa hình khác nhau của cư dân Đông Nam Á?
Nhà mái bằng.
Nhà sàn.
Nhà tranh vách đất.
Nhà trệt.
Nội dung nào dưới đây không phản ánh đúng nguyên nhân dẫn đến sự sụp đổ của mô hình xã hội chủ nghĩa ở Đông Âu và Liên Xô?
Phạm nhiều sai lầm nghiêm trọng trong quá trình thực hiện cải cách, cải tổ.
Chế độ xã hội chủ nghĩa không phù hợp với nguyện vọng của nhân dân.
Không bắt kịp sự phát triển của cuộc cách mạng khoa học -công nghệ.
Hoạt động chống phá của các thế lực thù địch trong và ngoài nước.
Khái niệm “đa cực” được hiểu là
một trật tự thế giới mà các nước vừa và nhỏ có vai trò quyết định.
một trật tự mới với vai trò vượt trội của Mỹ, chi phối các nước khác.
trạng thái địa-văn hoá toàn cầu với nhiều trung tâm quyền lực chi phối.
trạng thái địa-chính trị toàn cầu với nhiều trung tâm quyền lực chi phối.
Nội dung nào sau đây không phản ánh đúng triển vọng của Cộng đồng ASEAN?
Mức độ liên kết, hợp tác giữa các nước thành viên ngày càng sâu rộng.
Cộng đồng ASEAN ngày càng hoàn thiện về thể chế, chính sách…
Vị thế của ASEAN ngày càng được nâng cao trên trường quốc tế.
ASEAN trở thành một trong những trung tâm toàn cầu về quân sự.
Nội dung nào dưới đây không phản ánh đúng ý nghĩa của văn minh Đại Việt?
Thể hiện sức sáng tạo, sự lao động bền bỉ của các thế hệ người Việt.
Tạo nên sức mạnh dân tộc trọng các cuộc đấu tranh bảo vệ Tổ quốc.
Góp phần bảo tồn, giữ gìn và phát huy thành tựu của văn minh Việt cổ.
Có sức lan tỏa và ảnh hưởng lớn đến sự phát triển của văn minh Trung Hoa.
Từ sự thất bại của Nhà nước Âu Lạc trước quân xâm lược, chúng ta có thể rút ra bài học kinh nghiệm nào cho công cuộc xây dựng và bảo vệ Tổ quốc hiện nay?
Củng cố khối đoàn kết toàn dân; cảnh giác trước mọi âm mưu của kẻ thù.
Cầu viện sự giúp đỡ, viện trợ của các lược lượng bên ngoài khi có chiến tranh.
Xây dựng nhiều thành lũy kiên cố; nghiên cứu, chế tạo các loại vũ khí hiện đại.
Luôn hòa hoãn, nhân nhượng với các nước để giữ môi trường hòa bình, ổn định.
Trên lĩnh vực chính trị, những cải cách của Hồ Quý Ly và nhà Hồ đã
Góp phần củng cố quyền lực của chính quyền trung ương.
Góp phần tăng cường thế lực của tầng lớp quý tộc họ Trần.
Đưa đến sự xác lập bước đầu của thể chế quân chủ lập hiến.
Xâm phạm đến sự thống nhất và toàn vẹn lãnh thổ của Tổ quốc.
Nội dung nào sau đây không phản ánh đúng tầm quan trọng về quốc phòng, an ninh của Biển Đông đối với Việt Nam?
Biển Đông là tuyến phòng thủ phía đông của đất nước.
Góp phần bảo vệ an ninh hàng hải, chủ quyền lãnh thổ.
Là cửa ngõ, tuyến phòng thủ bảo vệ đất liền từ xa.
Là địa bàn có nguồn tài nguyên thiên nhiên phong phú.
Thông tin nào sau đây là không đúng về vai trò của Chủ tịch Hồ Chí Minh đối với cách mạng Việt Nam giai đoạn 1945-1954?I. Trong những năm 1945-1946, Chủ tịch Hồ Chí Minh cùng Đảng và Chính phủ đã đề ra nhiều biện pháp để đưa cách mạng Việt Nam vượt qua nhiều khó khăn, thử thách.II. Trong những năm 1946-1954, Chủ tịch Hồ Chí Minh cùng Đảng và Chính phủ đã lãnh đạo nhân dân kết hợp thực hiện hai nhiệm vụ: chống đế quốc và chống phong kiến.III. Chủ tịch Hồ Chí Minh tham gia họp bàn và chỉ đạo các chiến dịch quan trọng trong cuộc kháng chiến chống thực dân Pháp, tiêu biểu là các chiến dịch: Việt Bắc thu-đông (1947), Biên giới thu-đông (1950)…IV. Là người lãnh đạo cao nhất của cuộc kháng chiến, những hoạt động của Chủ tịch Hồ Chí Minh đã góp phần quan trọng đưa cuộc kháng chiến chống thực dân Pháp đi đến thắng lợi (1954).
Nhận định I.
Nhận định II.
Nhận định III.
Nhận định IV.
Trong quá trình đổi mới, trên lĩnh vực giáo dục-đào tạo, Việt Nam đã đạt được thành tựu nào sau đây?
Việt Nam đã đạt chuẩn phổ cập giáo dục trung học cơ sở vào năm 2000.
Vị thế giáo dục đại học Việt Nam đứng đầu khu vực châu Á-Thái Bình Dương.
Các chỉ số về giáo dục phổ thông của Việt Nam được đánh giá là đứng đầu châu Á.
Có sự phát triển mới về quy mô, đa dạng hóa về loại hình trường lớp ở các bậc học.
Question 163 - 165
.Đọc tư liệu dưới đây và trả lời các câu hỏi
Sau Đại thắng mùa Xuân 1975, Nhà nước Cộng hòa xã hội chủ nghĩa Việt Nam quản lí toàn bộ lãnh thổ Việt Nam, trong đó có quần đảo Hoàng Sa và quần đảo Trường Sa. Ngày 12-5-1977, Chính phủ nước Cộng hoà xã hội chủ nghĩa Việt Nam ra Tuyên bố về lãnh hải, vùng tiếp giáp, vùng đặc quyền kinh tế và thềm lục địa của Việt Nam. Năm 1994, Việt Nam phê chuẩn Công ước của Liên Hợp quốc về Luật Biển (UNCLOS) năm 1982. Về quản lí hành chính, năm 1982, Chính phủ Việt Nam thành lập huyện đảo Hoàng Sa, trực thuộc tỉnh Quảng Nam-Đà Nẵng (nay thuộc thành phố Đà Nẵng) và huyện đảo Trường Sa, trực thuộc tỉnh Đồng Nai (nay thuộc tỉnh Khánh Hoà). Năm 2007, Chính phủ quyết định thành lập thị trấn Trường Sa cùng hai xã đảo Song Tử Tây và Sinh Tồn trực thuộc huyện đảo Trường Sa. Nhà nước Việt Nam cũng triển khai nhiều hoạt động thực thi chủ quyền đối với quần đảo Hoàng Sa và quần đảo Trường Sa như thực hiện các dự án phát triển kinh tế-xã hội, tăng cường tuần tra, chốt giữ, xây dựng bia chủ quyền, ... Đồng thời kiên quyết đấu tranh trước những hành động xâm lược, đe doạ từ bên ngoài.
UNCLOS
Sau Đại thắng mùa xuân 1975, quần đảo Hoàng Sa và quần đảo Trường Sa đặt dưới sự quản lí của Nhà nước nào?
Việt Nam Cộng hòa.
Việt Nam Dân chủ Cộng hòa.
Cộng hòa Miền Nam Việt Nam.
Cộng hòa xã hội chủ nghĩa Việt Nam.
Trong quá trình bảo vệ chủ quyền quốc gia ở Biển Đông, Việt Nam đã luôn kiên định con đường đấu tranh bằng
mọi biện pháp, không đàm phán.
sức mạnh quân sự; không thỏa hiệp.
các biện pháp phù hợp với luật pháp quốc tế.
biện pháp hòa bình; luôn nhân nhượng, thỏa hiệp.
Nội dung nào sau đây không phản ánh đúng các hoạt động thực thi chủ quyền của Nhà nước Cộng hòa xã hội chủ nghĩa Việt Nam đối với quần đảo Hoàng Sa và quần đảo Trường Sa?
Chấp nhận đứng dưới chiếc ô bảo hộ hạt nhân của Mĩ.
Tăng cường tuần tra, chốt giữ, xây dựng bia chủ quyền.
Kiên quyết đấu tranh trước các hành động xâm lược.
Thực hiện các dự án phát triển kinh tế-xã hội.
Kết thúc nhóm câu Question 163 - 165
Question 166 - 168
.Đọc tư liệu dưới đây và trả lời các câu hỏi
Đầu năm 1950, Trung Quốc, Liên Xô và các nước xã hội chủ nghĩa đã lần lượt công nhận và đặt quan hệ ngoại giao với nước Việt Nam Dân chủ Cộng hoà, mở ra những điều kiện mới cho cuộc kháng chiến.
Thu-đông 1950, quân đội nhân dân Việt Nam lần đầu tiên chủ động mở chiến dịch Biên giới (từ ngày 16-9 đến ngày 22-10-1950) nhằm tiêu diệt một bộ phận sinh lực địch, khai thông biên giới Việt-Trung, mở rộng và củng cố căn cứ địa Việt Bắc. Sau hơn một tháng chiến đấu, quân đội Việt Nam đã giải phóng một vùng rộng lớn dọc biên giới Việt-Trung, chọc thủng hành lang Đông-Tây, làm phá sản kế hoạch Rơ-ve của thực dân Pháp. Từ đây, quân đội Việt Nam giành được thế chủ động chiến lược trên chiến trường chính Bắc Bộ.”
(Nguồn: SGK Lịch sử 12-bộ sách Chân trời sáng tạo, trang 41)
Sau Đại thắng mùa xuân 1975, quần đảo Hoàng Sa và quần đảo Trường Sa đặt dưới sự quản lí của Nhà nước nào?
Việt Nam Cộng hòa.
Việt Nam Dân chủ Cộng hòa.
Cộng hòa Miền Nam Việt Nam.
Cộng hòa xã hội chủ nghĩa Việt Nam.
Trong quá trình bảo vệ chủ quyền quốc gia ở Biển Đông, Việt Nam đã luôn kiên định con đường đấu tranh bằng
mọi biện pháp, không đàm phán.
sức mạnh quân sự; không thỏa hiệp.
các biện pháp phù hợp với luật pháp quốc tế.
biện pháp hòa bình; luôn nhân nhượng, thỏa hiệp.
Nội dung nào sau đây không phản ánh đúng các hoạt động thực thi chủ quyền của Nhà nước Cộng hòa xã hội chủ nghĩa Việt Nam đối với quần đảo Hoàng Sa và quần đảo Trường Sa?
Chấp nhận đứng dưới chiếc ô bảo hộ hạt nhân của Mĩ.
Tăng cường tuần tra, chốt giữ, xây dựng bia chủ quyền.
Kiên quyết đấu tranh trước các hành động xâm lược.
Thực hiện các dự án phát triển kinh tế-xã hội.
Kết thúc nhóm câu Question 166 - 168
Căn cứ vào yếu tố nào sau đây để phân biệt đất với đá, nước, sinh vật, địa hình?
độ ẩm.
độ phì.
nhiệt độ.
độ rắn.
Biện pháp quan trọng để giảm khí thải CO₂ không phải là
tăng đốt gỗ củi.
giảm đốt dầu khí.
giảm đốt than đá.
tăng trồng rừng.
Tiêu cực của quá trình khu vực hóa kinh tế đối với các quốc gia là
giảm tính tự chủ, nguy cơ tụt hậu.
tự do hóa thương mại toàn cầu.
thúc đẩy kinh tế chậm phát triển.
góp phần bảo vệ lợi ích kinh tế.
Vùng ven biển phía nam ở Cộng hòa Nam Phi có khí hậu cận nhiệt địa trung hải, thuận lợi trồng các loại cây ăn quả nào?
cam, dừa, chuối.
chuối, dứa, mận.
nho, cam, chanh.
chanh, mận, táo.
An ninh truyền thống bao gồm
xung đột vũ trang, chiến tranh, chiến tranh cục bộ.
an ninh kinh tế, chiến tranh, nạn khủng bố.
an ninh năng lượng, nguồn nước, chiến tranh.
xung đột vũ trang, năng lượng, nguồn nước.
Cho bảng số cơ cấu GDP của Hoa Kỳ giai đoạn 2000 - 2020:
Dựa vào bảng số liệu, nhận xét nào sau đây đúng về cơ cấu GDP của Hoa Kỳ giai đoạn 2000 - 2021?

Tỉ trọng GDP ngành nông nghiệp, lâm nghiệp và thủy sản có xu hướng tăng trong giai đoạn 2000 - 2021.
GDP ngành dịch vụ luôn chiếm tỉ trọng lớn nhất trong giai đoạn 2000 - 2021.
Tỉ trọng GDP ngành công nghiệp và xây dựng tăng 4,1% trong giai đoạn 2005 - 2020.
Tỉ trọng GDP ngành nông nghiệp, lâm nghiệp và thủy sản và ngành dịch vụ đều tăng trong giai đoạn 2005 - 2020.
Cho bảng số liệu nhiệt độ trung bình các tháng trong năm 2022 tại Nam Định:
Theo bảng số liệu và dựa vào kiến thức đã học, phát biểu nào sau đây không đúng về nhiệt độ trung bình các tháng trong năm 2022 tại Nam Định?

Nhiệt độ trung bình tháng có sự thay đổi theo mùa.
Có mùa đông ít lạnh hơn các tỉnh miền núi.
Biên độ nhiệt nhỏ.
Có nhiệt độ trung bình năm trên 24°C.
Cho bảng số liệu quy mô dân số và tỉ lệ gia tăng dân số ở nước ta giai đoạn 1999 - 2021:
Nhận xét nào sau đây đúng với bảng số liệu trên?

Quy mô dân số nước ta nhỏ so với thế giới.
Tỉ lệ gia tăng dân số có xu hướng giảm.
Tốc độ tăng của quy mô dân số chậm hơn tỉ lệ gia tăng dân số.
Tổng dân số và tỉ lệ gia tăng dân số có xu hướng giảm nhanh.
Hạn chế lớn nhất đối với các mặt hàng xuất khẩu là
lợi nhuận ít do giá thành rẻ.
tỉ trọng hàng gia công lớn.
số lượng sản phẩm chưa nhiều.
chất lượng sản phẩm chưa cao.
Biểu đồ dưới đây thể hiện nội dung nào về cây công nghiệp ở nước ta giai đoạn 2005 - 2015?

Sự chuyển dịch cơ cấu diện tích cây công nghiệp nước ta.
Sự chuyển biến giá trị sản xuất nông nghiệp theo ngành hoạt động.
Quy mô giá trị sản xuất nông nghiệp theo ngành hoạt động.
Tốc độ tăng trưởng giá trị sản xuất nông nghiệp theo ngành hoạt động.
Đông Nam Bộ thu hút được nguồn lao động dồi dào, chủ yếu do
nền kinh tế phát triển năng động.
mức sống cao, cơ sở hạ tầng hiện đại.
tài nguyên thiên nhiên giàu có.
khí hậu thuận lợi cho cư trú và sản xuất.
Ý nghĩa lớn nhất của các hồ thủy điện đối với kinh tế của vùng Tây Nguyên là
cung cấp nước tưới cho các vườn cây công nghiệp trong mùa khô.
điều tiết nước cho các sông, cung cấp nước cho các ngành sản xuất.
tạo ra nguồn điện dồi dào và góp phần chuyển dịch cơ cấu kinh tế.
thúc đẩy hoạt động du lịch sinh thái và cung cấp nước cho sinh hoạt.
Khó khăn lớn nhất vào mùa khô của Đồng bằng sông Cửu Long là
mực nước sông thấp, thủy triều ảnh hưởng mạnh.
nguy cơ cháy rừng cao, đất nhiễm mặn hoặc phèn.
đất nhiễm mặn hoặc phèn, mực nước ngâm hạ thấp.
thiếu nước ngọt trầm trọng, xâm nhập mặn lấn sâu.
Điểm tương tự về thế mạnh của vùng kinh tế trọng điểm phía Bắc và phía Nam là:
Lịch sử khai thác lâu đời.
Cơ sở hạ tầng và cơ sở vật chất kĩ thuật tương đối tốt và đồng bộ.
Nguồn lao động với số lượng lớn, chất lượng cao.
Tiềm lực kinh tế mạnh nhất, trình độ phát triển kinh tế cao nhất.
Question 183 - 185
.Dựa vào bản đồ dưới đây và kiến thức đã học, trả lời các câu hỏi

Tỉnh nào ở Bắc Trung Bộ có sản lượng thủy sản khai thác cao nhất?
Thanh Hóa.
Nghệ An.
Hà Tĩnh.
Quảng Bình.
Đâu không phải điều kiện tự nhiên thuận lợi để nuôi trồng và khai thác thủy sản ở Duyên hải Nam Trung Bộ phát triển?
vùng biển rộng, nhiều đảo và quần đảo.
nhiều ngư trường lớn.
nhiều vũng, vịnh sâu và kín.
lao động tay nghề cao.
Hoạt động khai thác và nuôi trồng thủy sản ở nước ta được thuận lợi hơn nhờ
Xây dựng hệ thống các cảng cá, đóng thêm tàu thuyền.
Các dịch vụ về giống, kĩ thuật phát triển rộng khắp.
Sự cải thiện môi trường và nguồn lợi thủy hải sản.
Phát triển dịch vụ thủy sản, mở rộng chế biến thủy sản.
Kết thúc nhóm câu Question 183 - 185
Phần 4. Tiếng Anh
Question 186 - 195
.Sentence completion: Choose A, B, C or D to complete each sentence.
Have you spoken to that guy _______ daughter might be able to help you with the contract?
who
whom
whose
which
The in-flight entertainment may _______ that advertised, so don’t be surprised if the options are more limited than you expected.
vary in
conflict with
contrast to
differ from
You _______ pay me back now, but of course you can if you like!
mustn’t
shouldn’t
don’t need
don’t have to
Workplaces that scored highest for employee satisfaction were 38% more _______ to have above-average productivity.
alike
like
likely
likable
I _______ Tam for her advice, but I’m not so sure that’s a good idea now.
am going to ask
was going to ask
was asking
will ask
What can we do to protect _______ species like the giant panda?
danger
dangerous
endanger
endangered
If I _______ hear from Nghia, I’ll tell him you were asking after him.
happened
should happen to
will happen to
should to
My grandfather gets a _______ from the company he used to work for.
pension
benefits
compensation
deposit
_______ was so annoying because it meant I had to take the bus to work.
Getting our car steal
Getting our car stolen
Having our car steal
Having our car stole
He’d been planning to leave the team _______, but kept it to himself while everyone else thought he was staying.
at a certain time
for the time being
just in time
the whole time
Kết thúc nhóm câu Question 186 - 195
Question 196 - 197
.Synonyms: Choose A, B, C or D that has the CLOSEST meaning to the underlined word/phrase in each question.
Although she would have preferred to carry on working, my mum sacrificed her career in order to have children.
gave up
offered
continued
devoted
Our class is going to put on a play, A Midsummer Night’s Dream, at the end of term, so everyone’s busy rehearsing their lines for the big performance.
perform
review
sell
write
Kết thúc nhóm câu Question 196 - 197
Question 198 - 199
.Antonyms: Choose A, B, C or D that has the OPPOSITE meaning to the underlined word/phrase in each question.
They wouldn’t fire someone just for stealing a bit of stationery, would they?
hire
keep
retire
dismiss
Vy and I usually agree – but we’re not always on the same wavelength.
annoyed with each other
understanding each other
having different opinions
talking very much
Kết thúc nhóm câu Question 198 - 199
Question 200 - 203
.Dialogue completion: Choose A, B, C or D to complete each dialogue.
Rachel: Can you believe how much oil prices have gone up recently?
Trung: _____________
I don’t drive, so I don’t care.
Yeah, filling up costs a lot more now.
No, I can’t. It’s unbelievable.
That doesn’t affect me at all.
Friend: Here, I picked up your dry cleaning since I was in the area.
You: _____________
Isn’t it your dry cleaning?
I owe you one! Thanks a lot.
I could’ve gotten it myself.
I didn’t ask you to do that.
Nina: Jamie is so much fun!
Chris: Yes, he really is _____________
the heart and life of the party
the heart and soul of the party
the life and heart of the party
the life and soul of the party
Colleague: I’ve been struggling to keep up with my workload lately.
You: _____________
I don’t have time to talk about it right now.
I’m sorry. Let’s talk it through - maybe I can help.
Perhaps this job isn’t the right fit for you.
Then stop idling and work faster.
Kết thúc nhóm câu Question 200 - 203
Question 204 - 207
.Dialogue arrangement: Choose A, B, C or D to make a complete dialogue for each question.
a. Great, let me know if you need any help.
b. Yes, I did, but I think we need to make a few changes.
c. Okay, I’ll take another look and revise it.
d. Did you get a chance to review the document I sent you?
b-d-a-c
b-c-a-d
d-b-c-a
d-a-b-c
a. Maybe we should check the other side of the lot.
b. I don’t see it anywhere around here.
c. Do you remember where you parked the car?
d. I think it was near the entrance.
c-d-b-a
c-a-b-d
b-d-c-a
b-c-d-a
a. That’s great! Do you follow a routine, or do you take classes?
b. Are you still doing yoga regularly?
c. Classes can be fun! It’s motivating to practice with others.
d. Yes, I’ve been sticking with it, and I feel so much more flexible.
e. Exactly! Plus, I think it’d help improve my technique.
f. I follow a routine at home, but I’ve been thinking about joining a class.
b-f-e-a-d-c
b-f-c-d-e-a
b-d-e-c-a-f
b-d-a-f-c-e
a. Yes, I’m trying to build my portfolio for an upcoming contest.
b. I noticed you’ve been taking a lot of photos lately. Are you working on a project?
c. Mostly landscapes and nature. I’m hoping to capture some unique shots.
d. That’s awesome! What kind of theme are you focusing on?
e. You’ve got a good eye for that! Do you edit your photos afterward?
f. A little, but I try to keep them as natural as possible.
a-b-c-d-f-e
b-a-d-c-e-f
a-c-e-b-d-f
b-f-d-a-c-e
Kết thúc nhóm câu Question 204 - 207
Question 208 - 211
.Sentence rewriting: Choose A, B, C or D that has the CLOSEST meaning to the given sentence in each question.
People may find it easier to remember facts when they study in the morning.
It is likely easier for people to remember facts when they study in the morning.
Studying in the morning definitely helps people remember facts better.
People might have a harder time remembering facts when they study in the morning.
Studying at night is probably easier for remembering facts than studying in the morning.
The room was warm enough for us to stay comfortable.
The room was so warm that we stayed comfortably.
The room was too warm to be comfortable in.
The room was such warm that we stayed comfortable.
We were comfortable because the room was warm enough.
The unexpected kindness of her friend moved her to tears.
Her friend’s sudden act of kindness made her cry with joy.
She couldn’t hold back her tears when her friend was kind to her.
Her friend surprised her by being unexpectedly kind.
Her friend’s kindness was surprising, and it deeply touched her.
Mary arrived at the airport. Shortly after that, her flight started boarding.
Barely had Mary’s flight started boarding when she arrived at the airport.
No sooner had Mary arrived at the airport than her flight started boarding.
Had it not been for Mary’s arrival at the airport, her flight would have boarded.
Not until Mary’s flight started boarding did she arrive at the airport.
Kết thúc nhóm câu Question 208 - 211
Question 212 - 215
.Sentence combination: Choose A, B, C or D that has the CLOSEST meaning to the given pair of sentences in each question.
The ice is melting. The river is going to flood.
The river won’t flood unless the ice keeps melting rapidly.
Melting ice will make the river flow faster.
The ice melting could cause the river to flood.
The river will dry up even though the ice is melting.
If only I had studied harder, I would have passed the test.
I regret not studying harder, or I would have passed the test.
I studied hard, so I passed the test.
I wish I hadn’t studied, as I failed the test.
I passed the test without needing to study.
The delay in shipping was caused by poor weather conditions.
The delay was caused by good weather conditions.
Poor weather conditions caused no delays in shipping.
It was poor weather conditions that delayed the shipping.
It was the delay in shipping that led to poor weather.
After several attempts, she succeeded in passing the bar exam.
She passed the bar exam after several attempts.
She passed the bar exam without needing any attempts.
Despite several attempts, she couldn’t pass the bar exam.
She succeeded in her first attempt at passing the bar exam.
Kết thúc nhóm câu Question 212 - 215
Question 216 - 220
.Cloze text: Read the passage below and choose A, B, C or D to fill in each blank from 31 to 35.
Without music and sport classes, a child’s talent in these areas may never be discovered and developed.
In fact, classrooms may provide an environment (31) _______. Furthermore, even for the children with (32) _______ talents, their capabilities may not fully grow unless (33) _______. Children may also learn to be disciplined and hardworking from the atmosphere of a class, because success in these particular areas requires a significant amount of effort in training. In brief, school education may satisfy some of the most critical factors in the early progress of the future music and sport figures.
More importantly, the provision of both academic, music and sports education is mandatory for an all-rounded growth of young students. If learning to sing or to (34) _______ a sport, for example, is treated as an extracurricular activity only, children may consider the engagement in it to be entirely optional. Some children, particularly those without a determined mindset, may eventually choose (35) _______ sports and music. Such a group may consequently go on to suffer from physical or mental illness in later life.
To conclude, to ensure the adequate physical and mental development of the next generation, and to foster young talents in music and sports, these subjects must never be abandoned in any child educational institution.
In fact, classrooms may provide an environment (31) _______.
for these children to expose their potential in these fields.
for these children exposing their potential in these fields.
that these children exposing their potential in these fields.
these children expose their potential in these fields.
Furthermore, even for the children with (32) _______ talents, their capabilities may not fully grow unless (33) _______.
ordinary
extraordinary
usual
unusual
Furthermore, even for the children with (32) _______ talents, their capabilities may not fully grow unless (33) _______.
some offered basic lessons
some basic lessons are offered
some basic lessons offering
offering some basic lessons
If learning to sing or to (34) _______ a sport, for example, is treated as an extracurricular activity only, children may consider the engagement in it to be entirely optional.
go
play
make
take
Some children, particularly those without a determined mindset, may eventually choose (35) _______ sports and music.
to not play
not playing
not to play
playing not
Kết thúc nhóm câu Question 216 - 220
Question 221 - 225
.Reading comprehension 1: Read the passage below and choose A, B, C or D to answer each question from 36 to 40.
Sylvia Earle is an underwater explorer and marine biologist who was born in the USA in 1935. She became interested in the world’s oceans from an early age. As a child, she liked to stand on the beach for hours and look at the sea, wondering what it must be like under the surface. When she was 16, she finally got a chance to make her first dive, which motivated her to become an underwater explorer. Since then, she has spent more than 6,500 hours under water and has led more than seventy expeditions worldwide. She has also made the deepest dive ever, reaching a record – breaking depth of 381 metres. In 1970, she became famous around the world when she became the captain of the first all-female team to live under water. The team spent two weeks in an underwater “house”. The research they carried out showed the damage that pollution was causing to marine life, and especially to coral reefs. Her team also studied the problem of overfishing. Fishing methods meant that people were catching too many fish, Earle warned, and many species were in danger of becoming extinct. Since then, she has written several books and magazine articles in which she suggests ways of reducing the damage that is being done to the world’s oceans. One way, she believes, is to rely on fish farms for seafood, and reduce the amount of fishing that is done out at sea. Although she no longer eats seafood herself, she realizes the importance it plays in our diets. It would be wrong to tell people they should stop eating fish from the sea, she says, however, they need to reduce the impact they are having on the ocean’s supplies.
What sparked Sylvia Earle’s lifelong interest in the world’s oceans?
Her first dive at the age of 16.
A marine biology class she took as a child.
Spending hours on the beach looking at the sea.
Reading books about underwater exploration.
What is the main topic of paragraph 2?
Her record-breaking deep dive and its significance.
Her journey to becoming an underwater explorer and her achievements.
The dangers and challenges of underwater expeditions.
Her involvement in environmental conservation efforts.
What does “that” in paragraph 3 refer to?
the research
the team
the house
the damage
According to the last paragraph, Earle believes that _______.
More books about the world’s oceans should be written.
It is a good idea to reduce fishing at sea.
Seafood is not important to human diets.
Fish farms increase the damage done to the oceans.
Which of the following would the author most likely support?
Stopping all underwater exploration to prevent harm to marine ecosystems.
Promoting public awareness about the dangers of pollution and overfishing.
Increasing fishing efforts to meet growing seafood demands.
Allowing only scientists to consume seafood for research purposes.
Kết thúc nhóm câu Question 221 - 225
Question 226 - 230
.Reading comprehension 2: Read the passage below and choose A, B, C or D to answer each question from 41 to 45.
Vietnam’s prolonged drought, coupled with an extensive build-up of salinity, have driven five provinces in the country’s rice bowl to declare a state of emergency. “This year’s drought and salinity have been way more devastating than what we saw four years ago,” said Nguyen Thien Phap, head of the water resources department in Tien Giang, one of the provinces that announced the emergency in the Mekong Delta. “The entire area of fruit trees in Tien Giang province, or about 80,000 hectares (310 square miles), are at risk, while 24,000 hectares of rice fields will give below-normal yields”, said Mr. Phap, who added that water usage upstream on the Mekong by nations including China, Laos and Thailand increased the dryness. The Mekong Delta, which produces more than half the country’s rice, has so far seen a total of 33,000 hectares of rice fields damaged and nearly 70,000 households suffer from lack of water, Vietnam National Television reported Friday, citing latest data from the country’s department of water resources. The government estimates drought will affect 362,000 hectares of rice and 136,000 hectares of fruit trees in the Delta this year, while more than 120,000 households will experience a water shortage. As of March 2020, it had hit about half the districts in 10 of the 12 provinces and one city in the region. The persistent drought in the Delta in 2016 caused losses worth 8.9 trillion dong (384 million USD) with 250,000 hectares of rice, 130,000 hectares of crops and 30,000 hectares of fruit trees destroyed, according to local news website VnExpress. It was regarded as the worst drought in the region of more than 17 million people in data going back to 1926. While the Delta is a key rice-growing area, the crop is grown in almost all of Vietnam, which is the world’s third-largest exporter, behind India and Thailand. What will happen if this situation gets worse?
What is “devastating” in paragraph 1 closest in meaning to?
fortunate
disastrous
harmless
blessed
Which of the following best paraphrases this sentence: “Water usage upstream on the Mekong by nations including China, Laos, and Thailand increased the dryness.”?
Increased water usage upstream on the Mekong by China, Laos, and Thailand has reduced the dryness
The dryness has decreased because of reduced water usage upstream on the Mekong by China, Laos, and Thailand
The increased dryness was caused by higher water usage upstream on the Mekong by countries such as China, Laos, and Thailand
China, Laos, and Thailand’s water usage upstream on the Mekong has had no effect on the dryness
What does “it” in paragraph 3 refer to?
the Delta
a water shortage
drought
a household
What is paragraph 3 mainly about?
The government’s efforts to prevent drought in the Delta region.
The impact of drought on rice, fruit trees, and households in the Delta region.
The history of drought in the Delta since 1926.
The financial losses caused by droughts across the country.
Which of the following does the author probably support?
The drought and salinity issues in Vietnam’s rice bowl are being managed effectively by the government.
The government estimates of drought impact are likely to be overstated.
Vietnam should reduce its rice production to address the ongoing water shortage issues.
Increased water usage upstream on the Mekong River by other nations has worsened the drought conditions in Vietnam.
Kết thúc nhóm câu Question 226 - 230
Question 231 - 235
.Logical thinking and problem solving: Choose A, B, C or D to answer each question.
Your laptop suddenly stops working, and you have an important online meeting scheduled soon with your team. You need to address the situation quickly and find a way to participate in the meeting. How should you communicate this to your manager?
My laptop’s useless now. Get me another device or sorry but I’m out.
I have a broken laptop and an urgent meeting. Can you reschedule it for me?
Laptop’s just broken down. I’m afraid I have no choice but to miss the meeting.
My laptop’s not working. Can I use another device or join from somewhere else?
Oliver, a manager, is discussing a recent project delay with Grace, an employee, who failed to complete work in time. What would be the best response for Grace in this situation?
Oliver: The project was delayed because you missed the deadline.
Grace: _____________
I didn’t realize the deadline was that important, but I’ll keep it in mind.
I sincerely apologize. I promise to adopt better time management techniques.
I’ll try to avoid this in the future, though I think the timeline was a bit tight.
Not necessarily. It was because this project had too many distractions.
Following are statements about restaurants. Which statement can be a fact?
Restaurants in popular tourist areas are overpriced.
Family-owned restaurants provide a personal touch.
A majority of all restaurants employ male chefs.
Fine dining restaurants offer the best culinary experiences.
You’ve noticed that whenever you use the oven, the smoke detector in your kitchen goes off even though there’s no visible smoke. What is the likely cause?
The oven is releasing small amounts of heat that trigger the smoke detector.
The oven’s cooking smells are being detected by the smoke detector as smoke.
The smoke detector is overly sensitive and is reacting to the heat from the oven.
The smoke detector is malfunctioning and giving false alarms when the oven is in use.
Which of the following situations best exemplifies “obligation” where someone feels a duty to perform a specific action?
Chloe agrees to attend a social event even though she’d prefer to stay home, because she feels it’s important to support a friend who organized it.
Chloe helps a colleague with a project because she wants to be supportive and believes it will strengthen their working relationship.
Chloe takes a day off from work to relax and recharge, believing it’s necessary for her well-being and productivity.
Chloe decides to participate in a team-building activity to improve her skills and contribute to the team’s success.
Kết thúc nhóm câu Question 231 - 235
Xem đáp án và bài mẫu
Answer key
Một nhóm học sinh lớp 10 trả lời một cuộc khảo sát về khoa học toán mà họ đang theo học. Dữ liệu khảo sát được chia nhỏ như trong bảng sau: Đáp án nào dưới đây chiếm khoảng 19% tổng số người trả lời khảo sát?

Học sinh nữ học Hình học.
Học sinh nữ học Đại số II.
Học sinh nam học Hình học.
Học sinh nam học Đại số I.
Giải thích câu 1
Giải thích chi tiết
😎 Cùng DOL xem qua cách giải:
📃 Thông tin đề bài:
- Nhóm học sinh lớp 10 tham gia khảo sát môn toán: Đại số I, Hình học, Đại số II.
- Tổng số người khảo sát: 310 học sinh.
- Số lượng học sinh phân theo môn:
• Đại số I: 79
• Hình học: 112
• Đại số II: 119
- Số lượng phân theo giới tính:
• Nữ: 150
• Nam: 160
❓ Yêu cầu:
- Xác định nhóm học sinh chiếm khoảng 19% tổng số người khảo sát.
🔎 Hướng dẫn cách làm:
- Tính 19% của 310:
- So sánh với số liệu: nhóm có 59 học sinh là học sinh nam học Hình học.
✅ Đáp án đúng:
- Học sinh nam học Hình học.


